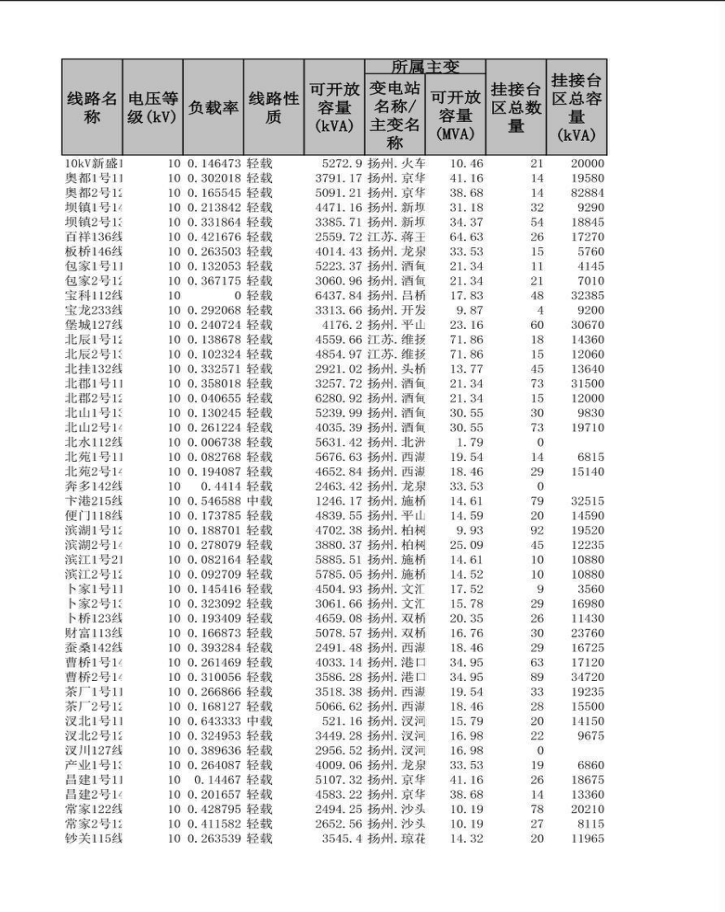
扬州市区2020年3季度配网可开放容量季度报表

发布时间:2020-09-10 字号:

  ·

  ·

  ·

  ·

  ·

  ·

  ·

  ·

  ·

  ·

  ·

  ·

  ·

  ·

  ·

  ·

  ·

  ·

  ·

  ·

  ·

  ·

  ·

  ·

  ·

  ·

  ·

  ·

  ·

  ·

  相关链接