首页
关于我们
党的建设
新闻中心
社会责任
信息公开
首页
>
信息公开
>
国网扬州供电公司
>
可开放容量有关信息
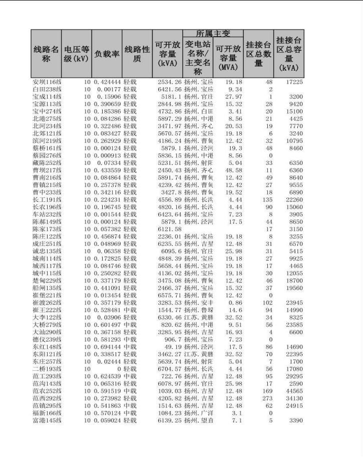
宝应地区2020年1季度配网可开放容量季度报表
发布时间:2020-03-10
字号:
大
中
小
·
·
·
·
·
·
·
·
·
·
·
·
相关链接
TOP