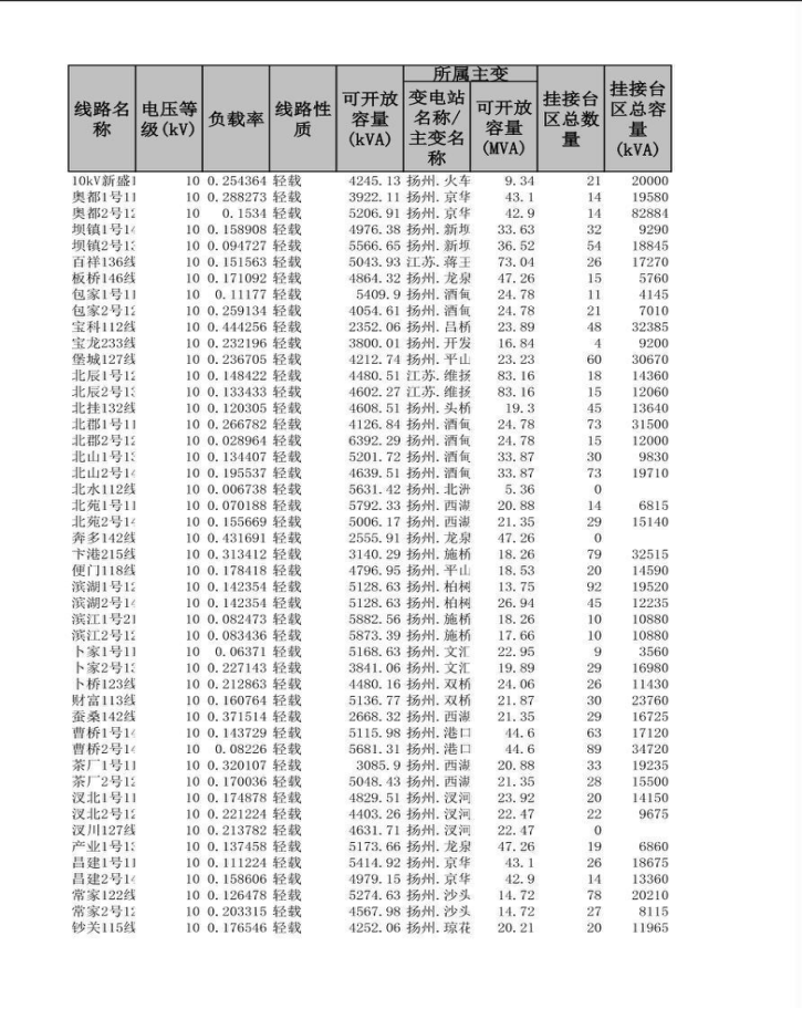
扬州市区2019年4季度配网可开放容量季度报表

发布时间:2019-12-10 字号:

  ·

  ·

  ·

  ·

  ·

  ·

  ·

  ·

  ·

  ·

  ·

  ·

  ·

  ·

  ·

  ·

  ·

  ·

  ·

  ·

  ·

  ·

  ·

  ·

  ·

  ·

  ·

  ·

  ·

  ·

  相关链接