首页
关于我们
党的建设
新闻中心
社会责任
信息公开
首页
>
信息公开
>
国网扬州供电公司
>
可开放容量有关信息
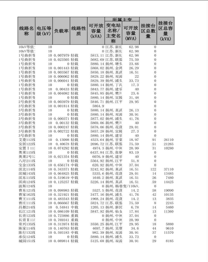
江都区2019年3季度配网可开放容量季度报表
发布时间:2019-09-10
字号:
大
中
小
·
·
·
·
·
·
·
·
·
·
·
·
·
·
相关链接
TOP