首页
关于我们
党的建设
新闻中心
社会责任
信息公开
首页
>
信息公开
>
国网徐州供电公司
>
可开放容量有关信息
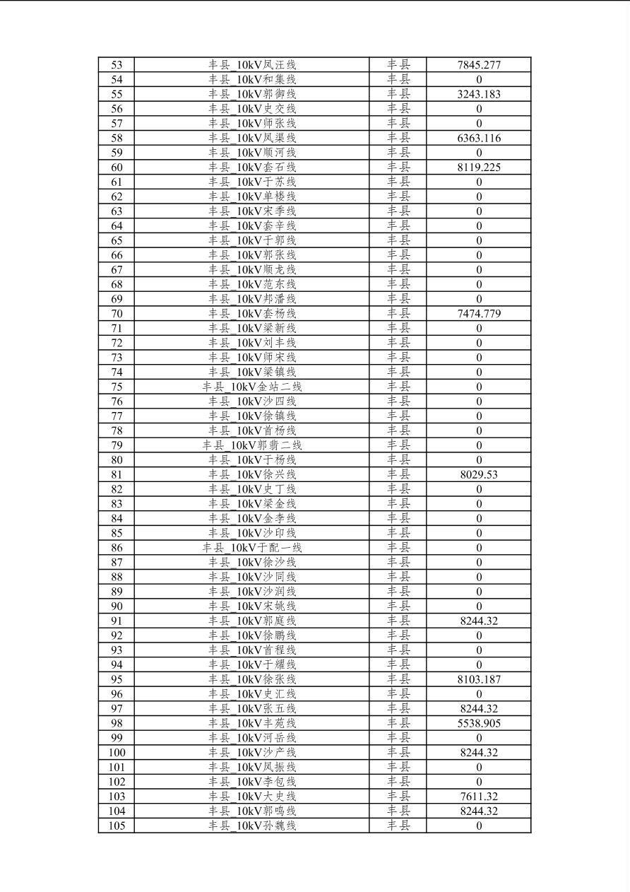
徐州电网2025年第一季度分布式光伏线路可开放容量明细表
发布时间:2025-03-28
字号:
大
中
小
TOP