首页
关于我们
党的建设
新闻中心
社会责任
信息公开
首页
>
信息公开
>
国网徐州供电公司
>
可开放容量有关信息
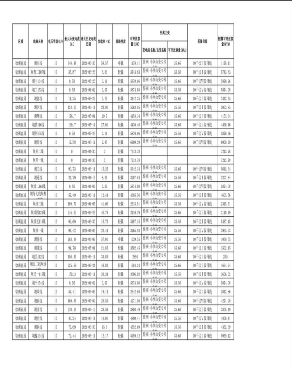
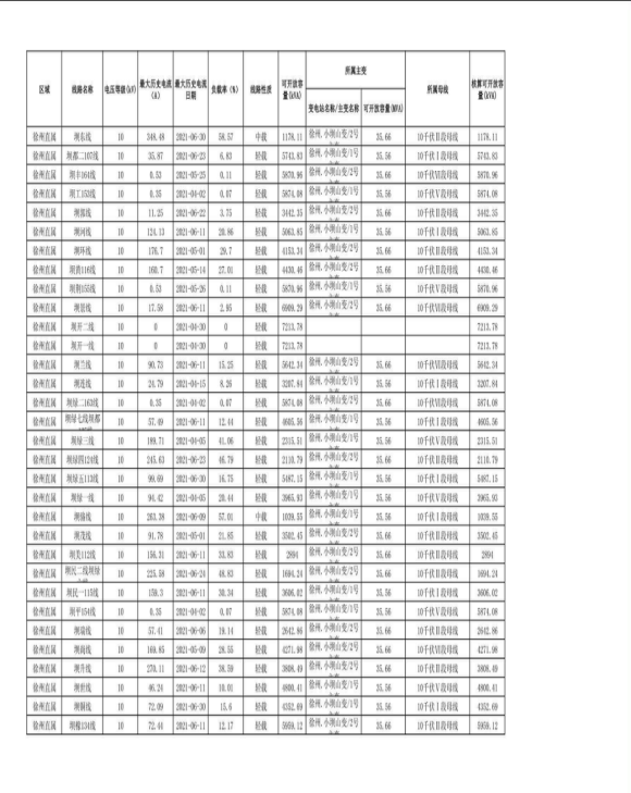
徐州公司配网线路可开放容量(2021年第三季度)
发布时间:2021-07-02
字号:
大
中
小
TOP