首页
关于我们
党的建设
新闻中心
社会责任
信息公开
首页
>
信息公开
>
国网无锡供电公司
>
可开放容量有关信息
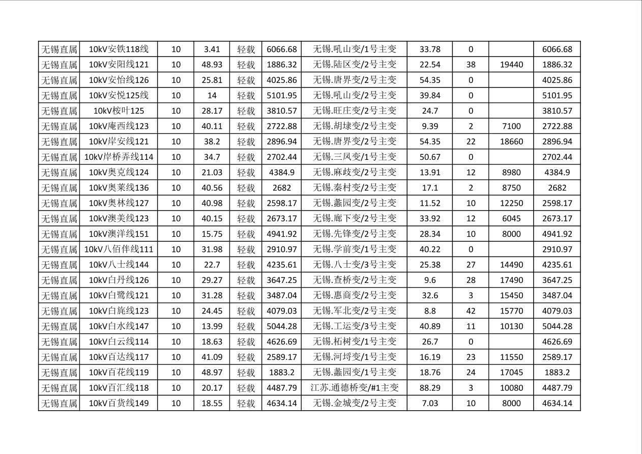
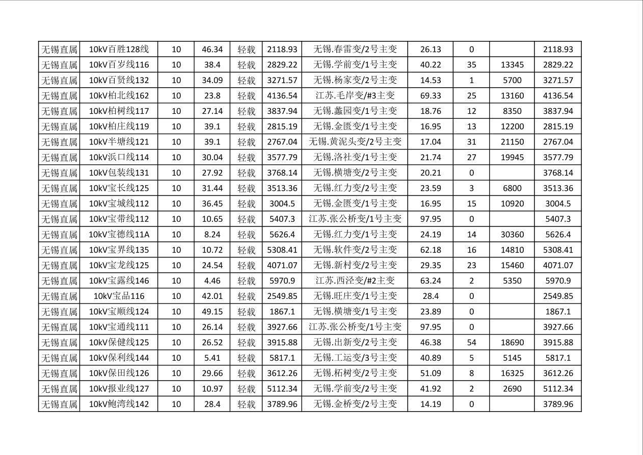
国网无锡供电公司配网可开放容量和受限情况(2024年第一季度)
发布时间:2024-01-10
字号:
大
中
小
TOP