首页
关于我们
党的建设
新闻中心
社会责任
信息公开
首页
>
信息公开
>
国网泰州供电公司
>
可开放容量有关信息
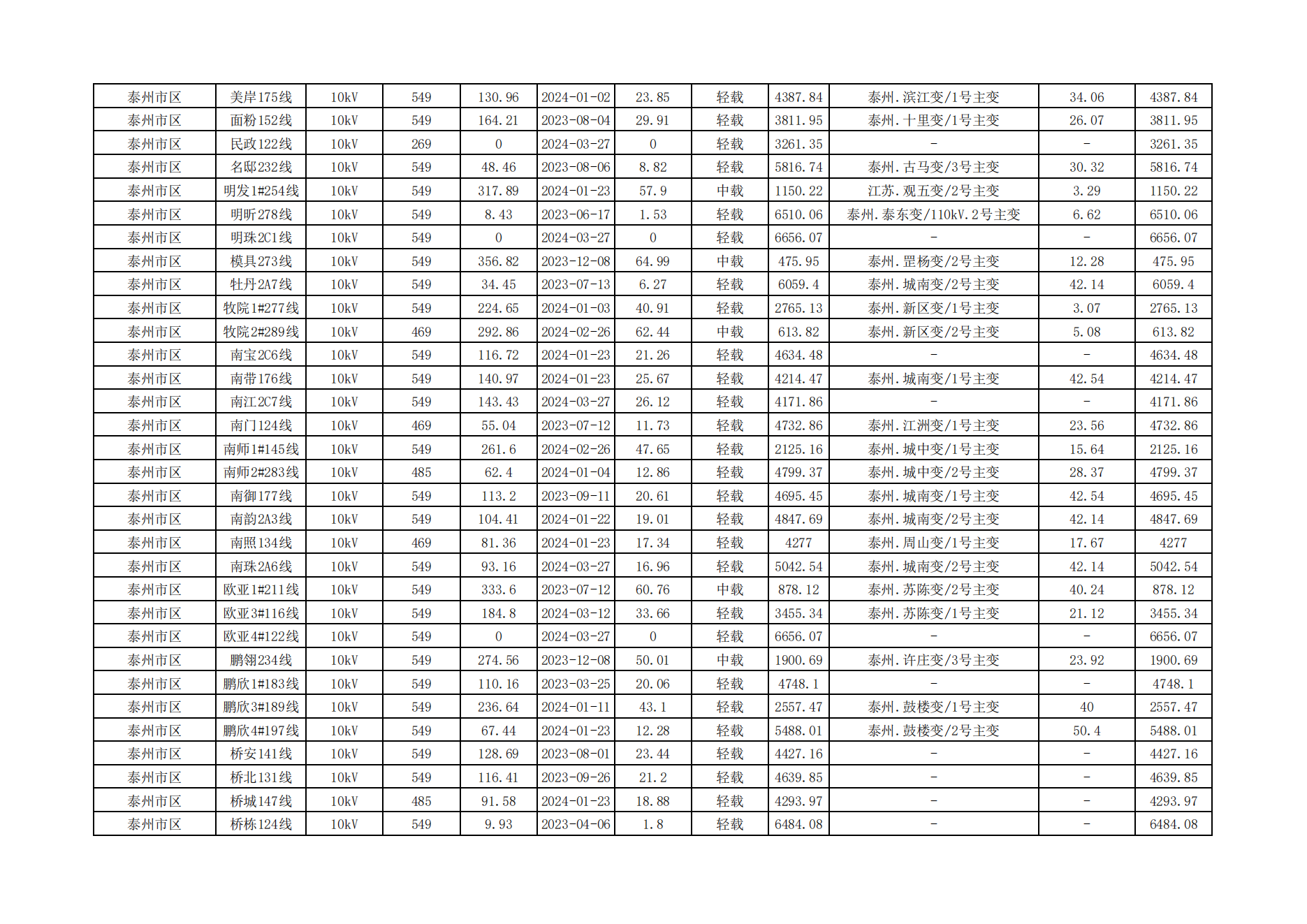
泰州全市2024年第三季度可开放容量信息
发布时间:2024-06-28
字号:
大
中
小
TOP