首页
关于我们
党的建设
新闻中心
社会责任
信息公开
首页
>
信息公开
>
国网连云港供电公司
>
电网公平开放
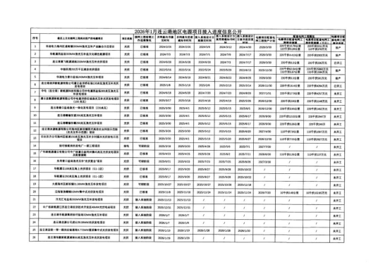
2026年1月连云港地区电源项目接入进度信息公示
发布时间:2026-01-30
字号:
大
中
小
附件1 截至1月末集中式电源配套送出工程及电网互联工程尚未投产相关项目情况(2026年1月).pdf
TOP